【產品名稱】維A醋酸酯(視黃醇乙酸酯)
【商品名稱】Brillian-KS38
【INCI Name】RETINYLACETATE
【CAS號】 127-47-9
【分子式】 C22H32O2
【分子量】 328.4
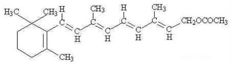
【結構式】

【含 量】 ≥2,800,000(IU/g)
【外 觀】淡黃色結晶
【用 途】可用于祛皺,抗衰老乳霜產品
【參考用量】0.1-1.0%
【保質期和儲存】在原包裝未開封,生產日起 36 個月內使用。避光,冷處(2~10℃),干燥保存,放在兒童拿不到的地方。


